Introduction
Sprinting is a key performance indicator in many sports for male and female athletes alike. At the same time, running close to maximum velocity is the main activity during which hamstring muscle injuries typically occur.1–3 Despite efforts to reduce hamstring muscle injury incidence, it remains one of the most frequent injuries of the lower extremities.4 This investigation expands on a previously completed study by adding a female data set allowing the examination of possible sex differences.
During running, the bi-articular hamstrings undergo a stretch-shortening cycle. Stretching takes place in the terminal swing phase followed by shortening just before the foot strike and lasting throughout the stance phase.2 The majority of data suggests that injuries typically occur during terminal swing phase, though it is still a matter of debate.5 This phase is characterized by peak muscle-tendon force, highest muscle excitation, negative work, and peak muscle-tendon length.2,6–8 Due to the distinct role of the hamstrings in the running cycle an assessment of hamstring strengthening exercises for their capacity to simulate sprint-like conditions might provide relevant data as previously elaborated.9
While the foundational understanding of hamstring function during sprinting across sexes has been established, significant sex differences in the lower extremity exist that could influence the way the posterior kinetic chain interacts and therefore could affect hamstring strengthening exercise selection.
A meta-analysis on sex-specific differences in biomechanics during running reported that female runners demonstrate greater hip flexion, adduction angle, and internal rotation angle, but smaller knee flexion angle than male runners.10 Furthermore, differences in joint kinetics have been observed between sexes during running, suggesting different loading on the hip joint and necessitating different levels of muscle activity.11,12 This observation may account for the greater peak and average gluteus maximus activity (GMax) while running reported in females.13,14 Additionally, it has been suggested that females use different neuromuscular strategies to control agonist, antagonist, and synergist muscles in various activities which in turn may lead to altered peak surface EMG signal.15
In the predecessor to this study, the peak and average muscle activity as well as joint angles of peak activity of the posterior kinetic chain, were investigated during hamstring strengthening exercises and high-speed running in male athletes,9 analogous to the study conducted by van den Tillaar and colleagues.16 Female participants are still underrepresented in sport science.17 To work towards a better understanding of female performance demands,18 this study aims to elucidate how aforementioned sex differences manifest when applying the same study design to a female dataset. The purpose of this study was to compare sex-differences in four exercises (the rocker, perpetuum mobile fast and slow and the Nordic Hamstring exercise) on their potential to simulate sprint-like muscle activity and kinematics.
MATERIAL AND METHODS
Study Design and Procedure
The cross-sectional intervention study consisted of previously collected male data samples and the addition of recent records of female athletes, all of whom were well-trained to national athletes from sprint intensive sports, mostly from track and field and soccer. Participants performed two maximal and one submaximal sprint and four selected exercises in one testing measurement session. Muscular activity of the biceps femoris long head and semitendinosus as well as hip and knee joint angles were assessed. The study protocol complied with the latest version of the Declaration of Helsinki and was evaluated and approved by the regional ethics committee.
Participants
This study extension recruited female athletes from surrounding clubs and students from the sport faculty using convenience sampling from April to June 2024. Inclusion criteria were female sex, between 18 and 30 years old, with at least one year of more than 4.5 hours of sprint-related training per week to ensure that both performance and technical proficiency would be homogeneous in sprinting. Athletes with recent injuries in lower extremities in the prior six months as well as the presence of any kind of discomfort or pain during sprinting were excluded from participation. Participants were informed about the study and all procedures and signed a written consent before participation. Sample size calculation (G*Power version 3.1.9.7, University of Kiel, Germany) was determined to allow analysis of differences between sex and two muscles of interest over the five conditions. With an α- error of 0.05 and power of 0.80 calculation, a sample size increase from eight to 20 was established.
Experimental Protocol
Athletes were scheduled for two sessions. The first habituation session, served to familiarize the standardized warm-up, ensure correct technical execution of the exercises and to determine exercise load. This session lasted approximately 45 minutes and took place at least 48h prior to the second session. The second testing session consisted of a warm-up, two maximal sprints, a submaximal high-speed run at 75% of maximal sprint and the four exercises in randomized order. This session lasted about two hours.
At the beginning of the testing session, standardized surface electromyographic sensors (sEMG) were applied to four muscles of interest (biceps femoris long head [BF], semitendinosus [ST], gastrocnemius medialis [GCM], gluteus maximus [GMax]) on the right leg of each participant. Sensor application was in accordance with the SENIAM guidelines (http://www.seniam.org). Before electrode affixation, the skin was shaved, abraded with scrubbing gel and wiped with alcohol. Electrodes were placed parallel to the muscle fibers with an inter-electrode distance of 20mm. After a resting period of 5 min, impedance was tested (<10kΩ) and correct electrode placement was verified through manual muscle test and visual inspection of raw signals. The standardized 20 min warm-up consisted of running drills, mobilization exercises and time for individual necessities designed to enable maximal sprinting. After warming up two 40 m maximal sprints on an outdoor sprint track with similar weather conditions for all participants (dry, sunny, between 20-25ºC) and a resting period of 5 min in between were performed. Participants started from a standing start with self-chosen set-off with their usual running shoes performing with maximal effort. Velocity calculations based on 35 to 40m sprint time was obtained through a single-beamed photocell (Witty, Microgate Srl, Bolzano, Italy).
After a 10-minute rest, three-dimensional (3D) motion capture system (Vicon Motion Systems Ltd, United Kingdom) reflective markers were bilaterally placed on the lower body with a total of 36 markers positioned on anatomical landmarks. After calibration of the motion capture model, participants performed one high-speed run at 75% of maximum sprint velocity on a motorized treadmill (Pulsar, H/P/Cosmos Sports & Medical gmbh, Nussdorf-Traunstein, Germany). It has been shown that this is the fastest speed which does not lead to technical failure within 15 strides and still represents kinematics close to a maximal sprint.19 Subsequently the four exercises of interest were conducted. Repetitions were set to three per exercise, rest in between to 5 min and the order was randomized as to avoid the influence of fatigue or order bias. Constant speed, pelvis tilt and leg alignment were controlled visually to ensure similar interindividual movement execution. Perceived loading and exertion were quantified with the Borg CR10 scale20 immediately after exercises and before initiating the new one to ensure that the participants were sufficiently recovered.
Exercises
The rocker is a custom-made apparatus currently used by Swiss track and field athletes on national level (Figure 1A). The perpetuum mobile exercise (Figure 1B) originates from physical therapy and is used to train reactive hip stabilization and propulsion in gait as described by Klein-Vogelbach.21 The last exercise was the Nordic Hamstring (NHE) on a custom-made device with adjustable slope (Figure 1C). Exercise execution speed was either controlled with a metronome to be 5 secs per movement phase (NHE, PMslow) or instructed to be as explosive as possible (Rocker, PMfast).
Data Collection and Analysis
Muscular activity was measured through bipolar surface electrodes (Wave Plus, Cometa srl, Milan, IT) with an interelectrode distance of 20mm, at a sampling rate of 1 kHz. Raw EMG data was filtered using the Butterworth bandpass filter (10-400Hz), full-wave rectification, and smoothed by a root mean square (25ms width) using the proEMG Software (prophysics AG, Kolten, CH). Peak and average (contraction phase) RMS values of every repetition of every exercise were extracted and the median activity for every exercise was calculated. sEMG data was normalized based on maximal sprint, utilizing the greater activity out of the two attempts. The 30ms plateaus were averaged over three consecutive strides and applied for every muscle of interest.22 BFlh/ST-ratio was calculated by dividing BFlh activity by ST activity. The 3D motion capture utilized twelve cameras with a recording frequency of 200 Hz. The musculoskeletal model based on Vicon Plug-In Gait Lower Body AI was modified with additional markers (Figure 2) to best facilitate the modelling of the submaximal sprints and exercises according to prior tests.23 Raw trajectory data was processed using software inbuilt pipelines for dynamic movements (Vicon Nexus 2.15, Vicon Motion Systems Ltd, United Kingdom). 3D motion capture data was synchronized with the EMG data. Hip and knee joint angles corresponding to the maximal muscle activity in the BFlh and ST were recorded and the median of the three repetitions per exercise was used for further analysis. Elongation stress was calculated by subtracting knee flexion angle from hip flexion angle.24
Statistical Methods
Independent variables were task (5 levels), sex (male, female), and muscle (4 levels). Dependent variables included muscle activity (peak and average), hamstring muscle activity ratio, joint angle at peak activity (hip, knee), and elongation stress. A random effects linear mixed model (GAMLj, Jamovi) was employed to examine 1) differences in peak and average muscular activity for each muscle, 2) peak activity flexion angles in hip and knee, as well as elongation stress and 3) peak and average BFlh/ST-ratio in hamstrings. Random intercept per participant model was used to account for repeated measures. Significant interactions were further examined using Bonferroni-corrected post-hoc comparisons to control for multiple testing. All values are reported with mean difference (MD) and confidence interval (CI), and level of significance was set at p < 0.05. Standardized mean differences (SMD) were acquired by standardizing all estimates to the treadmill SD. Normal distribution of residuals was verified visually through inspection of Q-Q-Plots.
RESULTS
Descriptive data for male and female participants are shown in Table 1.
Muscle activity
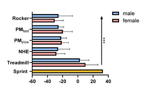
Normalized peak and average hamstring EMG data for both sexes are visible in Figure 3. For peak hamstring activity a significant main effect of sex was found across task, with females showing greater values (MD: 31, p= 0.003, [95%CI: 14-48], SMD: 1.1). A sex and task interaction (F(4, df) = 2.42, p= 0.05) revealed that this difference was specifically evident during the Nordic Hamstring (MD: 48, p= 0.005, [95%CI: 26-70], SMD: 1.8). A significant main effect for muscle shows significantly greater amplitudes for BFlh than ST (MD: 8, p< 0,027 [95%CI: 1-15], SMD: 0.3). The sex and muscle interaction (F(1, df) = 5.75, p=0.018) showed that females displayed significantly greater peak activity for ST (MD: 39, p=0.002, [95%CI: 21-60], SMD: 1.3) but not BFlh. For average hamstring activity a significant main effect of sex showed females eliciting greater mean activity across tasks (MD: 16, p< 0.001, [95%CI: 8-24], SMD: 1.4). The sex and task interaction (F(4, df) = 3.02, p= 0.020) demonstrated that, upon pairwise comparison, females showed greater mean values during the rocker (MD: 23, p= 0.003, [95%CI: 12-31], SMD: 1.5) and NHE (MD: 21, p= 0.011, [95%CI: 10-31], SMD: 1.8). Additionally, a significant main effect of muscle was observed, and post-hoc analysis revealed that females exhibited significantly greater mean activity than males for the ST (MD: 20, p< 0.001, [95%CI: 12-29], SMD: 1.5) but not BFlh.
Peak and average sprint-normalized activity of GMax (F(4, df) = 21.64, p< 0.001) and GCM (F(4, df) = 52.44, p< 0.001) showed a significant main effect for task only. Corresponding post-hoc pairwise comparisons are presented in Table 2.
Hip and knee flexion angles of peak activity
A significant main effect of task was observed for hip flexion angle (F(4, df) = 18.04, p < 0.001) and knee flexion angle of peak activity (F(4, df) = 6.70, p <0 .001). Post-hoc comparisons are shown in Table 3. An interaction between sex and task (F(4, df) = 5.87, p< 0.001) showed significantly greater hip angles during the PMfast in females (MD: 30°, p= 0.014, [95%CI: 15-46°], SMD: 2.1) but not the other tasks. A significant main effect of muscle was found for knee flexion angle, with post-hoc comparison indicating that peak activity occurred at a significantly smaller knee flexion angle for the ST compared to the BFlh (MD: 7°, p= 0.02, [95%CI: 1-12°], SMD: 0.4).
The resulting elongation stress on the hamstrings is visible in Figure 4. Following a significant main effect of task (F(4, df) = 62.84, p<0 .001), post-hoc comparisons showed that elongation stress was significantly lower in all exercises compared to high-speed treadmill running (MD: 27-34, p< 0.001, [95%CI: 23-39], SMD: 1.9-2.3).
Muscle Selectivity
Muscle selectivity of peak activity of every task is shown in Figure 5. For peak activity BFlh/ST-ratio a main effect of task was found (F(4, df) = 3.46, p= 0.012), with high-speed treadmill running showing significantly smaller values than the rocker (MD: 0.25, p= 0.029, [95%CI: 0.09-0.41], SMD: 0.7) and PMfast (MD: 0.27, p= 0.013, [95%CI: 0.11-0.43], SMD: 0.8).
DISCUSSION
There are distinct neuromuscular and biomechanical sex differences in the lower extremity. These differences may influence how the posterior kinetic chain is utilized during hamstring exercises which in turn would influence exercise selection in strengthening programs based on sex. The current study integrated a female data sample in the evaluation of muscle sprint-specificity of four hamstring exercises looking at possible sex differences in task-specific muscle activity and joint angles.
The predecessor study found greater hamstring activity during the explosive exercises (Rocker, PMfast) compared to the slower ones (NHE, PMslow) in male subjects. Among these, the rocker exercise elicited the highest activation of both the hamstrings and the GMax. Additionally, BFlh consistently demonstrated greater activity than ST across all exercises, both in terms of peak and average muscle activity. PMfast, PMslow and NHE demonstrated less hip flexion angle at peak hamstring activity than the rocker and high-speed running and every exercise showed less hamstring elongation stress than during high-speed running. The main findings of the current study were that females show overall greater hamstring activity during studied tasks (35%) and particularly greater peak (53%) and average activity (60%) during the NHE than males. On top of that, females displayed overall greater ST activity (49%). Otherwise, the muscular activity characteristics across tasks remained stable between males and females. Hip and knee flexion angles at peak activity show also slight sex differences, which offset each other in terms of hamstring elongation stress, resulting in no overall difference compared to the male group.
Muscle activity
The predecessor study displayed consistently high peak and average values for muscle activity for all tasks in males. The current study confirms above average values as well, reinforcing the reliability of the used procedures. As previously noted,9 the data was analyzed in relation to each other and the maximal sprint, rather than being evaluated based on absolute values.
In this investigation females showed overall greater peak and average hamstring activity (Figure 3). This is rather unexpected as recent studies on sex-specific hamstring activity find no differences between the sexes,25,26 or tend to show smaller activity for females.27,28 One study showed greater hamstring activity for females during explosive activation.29 Those researchers argued that an uncontrolled motor unit recruitment of the hamstrings could lead to a compensatory overactivation. However, this reasoning does not seem applicable when including different execution speeds, contraction modes and loads. A review on sex differences in muscle activity of knee stabilizers found controversial results.30 These authors reason that differences in performance levels of participants, examined sport and tasks, normalization methods and achieved power make it difficult to directly compare the cross-sectional studies and may be the reason why the results on sex differences are so ambiguous. Furthermore, the current study showed greater overall ST peak activity for females (115-136% vs. 80-93%) versus males. This may be partly attributed to the previously mentioned greater overall hamstring activity in females which, however, does not explain the absence of a significant sex-difference in BFlh. The mechanisms that lead to a large effect of greater ST activity during high-speed running and the examined tasks in females might be linked to the lower hamstring injury rate in females.31,32 Next to generally greater muscle fatigue resistance and recovery rate as possible moderators of injury risk in females,33,34 a faster phenotype and larger muscle size in ST for males would additionally support the muscle mass theory for lower male fatigue resistance while sprinting.35 A review addressing reasons why the BF is mainly injured during sprinting postulated the theory that premature acidification and onset of fatigue of the ST shifts too much burden on the compensating BF, drastically increasing its risk of injury.36 Hence, if females use a different neuromuscular strategy or use the ST more efficiently, the mentioned theory could pose an explanation for the different hamstring injury rates between the sexes.
Beyond the demonstrated sex differences in hamstring activity the BFlh showed greater amplitudes than the ST. Since the added female sample had greater ST activity than males and the significantly greater BFlh activity still persists, this study further supports the claim, that hip-dominant closed-kinetic chain exercises prefererntially activate the BFlh. Moreover, the normalized hamstring EMG confirms the previous data and further highlights existing differences between the tasks. The rocker elicits highest peak hamstring activity out of all five conditions (95%CI:127-152%), followed by the roughly equivalent PMfast (95%CI:108-130%) and NHE (95%CI:106-130%). Lowest activity is seen in PMslow (95%CI:89-108%) and high-speed running (95%CI:78-96%).
Neither GMax nor GCM activity demonstrated significant differences between the sexes (Table 2). Regarding GMax, this is unexpected as another study found double the activity in the single-joint hip extensor in females during different running speeds and inclines.14 The absence of differences in muscle activity in the GMax does not rule out different (or individualized) recruitment strategies to facilitate hip extension especially considering the previously mentioned deviations in hamstring activity.
Hip and knee flexion angle of peak activity
The findings on joint angles of peak hamstring activity revealed ample task-related differences, but more notably a distinct sex- and muscle-specific pattern. The sex and task interaction during the PMfast demonstrated that females had significantly greater hip flexion at peak hamstring activity. The generally large variation in joint angles of peak activity in the PM exercises is likely due to the many degrees of freedom which impose high coordinative demands on the athlete. Thus, it is probable that participants used different strategies to tackle the movement execution, with a visible trend showing females reaching peak activity earlier and males later in the movement.
Hip and knee flexion angles both indicate that the ST reaches its peak activity at more flexed positions, with said difference being statistically significant only in the knee joint. However, this difference does not translate into altered elongation stress since the differences in both joints cancel each other out.
Muscle selectivity
The extension of the sample through female participants substantiated task dependent differences in muscle selectivity that were not visible before. High-speed treadmill running demonstrated a lower BFlh/ST-ratio than the rocker and PMfast. This is likely because of an increased sample size and the overarching trend of greater ST activity in females in all tasks. Nevertheless, those significant differences as seen in Figure 5 were only visible in peak but not average activity ratio. Additionally, this study is in contrast to the previous trend of greater BFlh selectivity in the NHE in the male data set.9 In the predecessor study the main argument to improve BFlh recruitment during NHE was full ROM without loss of control.9 The negation of that trend through female data may lie in the fact that many females struggled on the lowest difficulty slope level even losing control before reaching full knee extension. A restricted range of motion could have reduced the BFlh involvement towards the end of the movement. However, this argument is solely based on observation. Moreover, the female sample supports the studies that found no significant activity differences between lateral and medial hamstring in the NHE.37,38
METHODOLOGICAL LIMITATIONS
When considering these outcomes, it is important to take into account that the use of single surface EMG depicts an estimate of only one area of the muscle and is susceptible to cross-talk.39 Sex-dependent variations in subcutaneous tissue may reveal sex differences that cannot be attributed to task differences. Moreover, muscle activity does not always correlate to muscle force, requiring the need for assumptions without available muscle force data. Additionally, the relationship between exercise velocity and peak muscle activity remains unclear, raising the possibility that higher activation observed in some tasks may be caused by speed rather than task-specific muscular demands. Due to the unequal sample size between sexes (12 females, 8 males) statistical power for sex-related comparisons may be reduced and the generalizability of findings across sexes limited. Lastly, to control load as an effect modifier, the authors adjusted exercise intensity where possible. This standardization might have altered the kinetics of the rocker and NHE between subjects, potentially increasing variability in angle values and even muscle activity and thereby possibly limiting the ability to detect between-condition differences.
Practical implications
These outcomes are intended to provide data on sex differences in exercises displaying sprint-specific characteristics next to the NHE. The outcomes suggest that the NHE and PM exercises exhibited sex-specific peculiarities that may require adjustments and considerations when being applied in training or rehabilitation contexts. The rocker demonstrated the most similarity between sexes and potentially represents the most suitable option when working with both sexes.
Sprinting related hamstring injuries may be less prevalent in females. Nonetheless, the hamstrings play an important part in ACL injury prevention. Therefore, regardless of the underlying reason for its necessity, hamstring exercises are vital in lower-extremity integrity for both sexes. The investigated exercises demonstrate a high excitation of the posterior chain, particularly the hamstrings. Further understanding the biomechanical role of each hamstring muscle in both sexes through larger samples is imperative for adequate strengthening exercise selection.
Conclusion
The results of the current study revealed overall greater peak and average hamstring activity for females versus males. Females demonstrated greater activity during the rocker and the NHE as well as showed overall greater ST activity. Both synergists, GMax and GCM, displayed no differences between the sexes. The hip angle showed between sex differences in PMfast where peak activity occurred at a more flexed hip in females. The knee angle showed between hamstring muscle differences where ST activity peaked at a more flexed knee in females. Elongation stress during all task revealed no differences between males and females. The sex-specific peculiarities observed in hamstring muscle activation patterns point toward distinct neuromuscular strategies. Further research is needed to explore their relevance to sex-specific injury susceptibility and performance adaptation.
Conflicts of Interest
The authors have no professional relationships with companies or manufacturers who will benefit from the results of the present study.


_and_average_(right)_activity_(95_ci)_of_the_hamstring_muscle.png)

